杨瀚森全明星票数揭晓!获10.4万票排名第36 媒体和球员票均为零

时间:2026年01月20日 15:00

北京时间1月20日,北京时间1月20日,NBA官方公布了2026年全明星赛的首发阵容。西部首发是亚历山大、约基奇、东契奇、文班亚马和库里,东部首发是字母哥、坎宁安、布伦森、马克西和杰伦-布朗。随后,NBA官方公布了具体票数。东契奇得到3402967票,成为票王。杨瀚森得到104000票,在球迷投票部分,排名联盟第36位。





杨瀚森的媒体票和球员票均为零,2026年NBA全明星赛首发球员由球迷、现役NBA球员以及媒体评审团共同选出。球迷投票占首发人选评选权重的50%,球员与媒体投票各占25%。所有投票统计完毕后,球员将按照投票群体划分,在东西部两个联盟内分别进行排名。每位球员的最终得分,由其在球迷投票、球员投票和媒体投票中的加权排名取平均值计算得出。

球员得分的权重分配为球迷投票占50%、球员投票占25%、媒体投票占25%,具体计算公式为:(球迷排名×2+球员排名+媒体排名)÷4

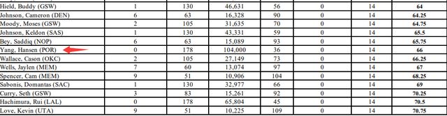
杨瀚森的加权得分是66(分越低排名越高,比如约基奇是1.75),在他后一位是雷霆的卡森-华莱士,在他前一位是鹈鹕的萨迪克-贝。

杨瀚森今日已经被开拓者下放到发展联盟,将继续为混音出战比赛。过去两场发展联盟比赛,杨瀚森场均18分12篮板,分别创得分新高(22)和篮板新高(17)。

TAG / 关键词  卡森  杨瀚森  约基奇  阿德托昆博  全明星票数 

录像视频

集锦视频

热门资讯

热门标签

英超   湖人   NBA   快船队   足球   比赛集锦   利物浦   曼联   阿森纳   勒布朗詹姆斯   皇家马德里   切尔西队   曼城   巴塞罗那队   篮球   马刺队   勇士   比赛录像   勇士更衣室   cba   欧冠   科怀·伦纳德   勇士队   斯蒂芬·库里   西甲   雄鹿队   三分命中率   詹姆斯·哈登   阿德托昆博   吉米·巴特勒   库里   意甲   阴阳合同   凯文杜兰特   巴萨   热刺队   哈登   皇马   国际米兰   明尼苏达森林狼队   拜仁   威少   英超联赛   马德里竞技   纽约尼克斯队   尤文图斯队   丹佛掘金队   nba常规赛   火箭   欧洲杯揭幕战   火箭在线直播免费观看   劲爆体育直播   90vs足球比分   5+体育频道直播   中央13台直播观看高清   就要直播_网络电视直播nba   免费观看cctv5+直播   cctv5直播现场直播中国男篮   中央十三套节目在线直播   免费nba比赛直播回放   nba直播nba比赛直播nba免费高清   山东电视台体育频道   新晴天tv港澳台直播   514直播怎么下载   斯诺克直播间2号直播间免费直播   斯诺克直播英格兰公开赛   广东体育频道在线直播   掘金vs凯尔特人   卫视直播电视   jrs直播吧nba直播   5台今日节目时间表   cba今日赛事安排   3d开奖直播新浪   nba火箭赛程表   nbl赛程   乒乓球最新赛事消息今天赛程   斯洛克直播   中央13套在线直播   7m足球比分   即时比分球探007手机   火箭队直播   今天乒乓球赛事直播   8384现场直播   cba赛程最新   巴萨对塞维利亚